Прошёл почти год с публикации обзора акустической стереосистемы R2700, на тот момент самой старшей модели высококачественных мультимедийных колонок линейки Studio от компании Edifier. И вот на дворе новый осенне-зимний сезон, а в нашей лаборатории новый флагман семейства, стереосистема Edifier R2800, или, как её ещё называет производитель, Studio 8.
Напомним: по результатам тестирования в нашей лаборатории система R2700 получила весьма лестные оценки, и потому было вдвойне интересно узнать, что же нового смогли подготовить в новом сезоне инженеры Edifier для того, чтобы удивить качеством и без того впечатлённых любителей хорошей домашней 2-канальной мультимедийной акустики. По заявленным характеристикам модель Edifier R2800 действительно превосходит свою предшественницу, да и стоит несколько больше, но отразятся ли количественные изменения характеристик на качестве звука и, главное, в какую сторону? Собственно, в ответе на эти вопросы и заключается интрига сегодняшнего тестирования.
Знакомство с новой системой по традиции начнём с характеристик, заявленных производителем.
| 3-полосная активная стереосистема Edifier R2800 | |
| Выходная мощность | 140 Вт RMS (2х70 Вт: 2x16 Вт + 2x18 Вт + 2x36 Вт) |
| Заявленное соотношение сигнал/шум усилителя | Более 85 дБА |
| Исполнение акустической системы | Три динамика, три отдельных усилительных тракта по технологии три-ампинга (отдельный усилитель для каждой полосы) |
| Заявленный частотный диапазон | 42–20 000 Гц |
| Уровень нелинейных искажений в заявленном диапазоне воспроизводимых частот | ?0,5% |
| Уровень входного сигнала | 900+50 мВ |
| Входные интерфейсы | Оптический, коаксиальный, AUX, PC |
| Соединение между колонками | 5-контактный кабель XLR |
| Низкочастотная секция | 8-дюймовый динамик с магнитным экранированием |
| Среднечастотная секция | 4-дюймовый динамик с магнитным экранированием |
| Высокочастотная секция | 3/4-дюймовый твиттер с магнитным экранированием и шелковым куполом |
| Материал корпуса | Древесно-волокнистая плита (MDF) |
| Габариты | 258х463х320 мм |
| Вес | 27,8 кг |
Модель Edifier R2800 – это прежде всего классическая трёхполосная акустическая система с фронтальным фазоинвертором и современной технологией так называемого «три-ампинга», подразумевающей наличие трёх независимых усилителей на колонку, по одному для каждого динамика. Если продолжить проводить аналогии с моделью R2700, можно отметить значительное изменение большинства параметров, в том числе диаметра среднечастотного и низкочастотного динамиков, фазоинвертора, а также габаритов (объёма) и массы. Вполне очевидно ожидать от такой конструкции ещё более «чуткого» отношения к воспроизведению низких частот.
Как и предшествующая флагманская модель, система Edifier R2800 оснащена двумя цифровыми (оптика и коаксиал) и двумя аналоговыми (AUX и PC) аудиовходами, а также DSP-модулем с электронной регулировкой басового тембра. Как и предшественница, новинка поставляется в комплекте с пультом ДУ. Остальные характеристики и особенности модели R2800 мы изучим по ходу подробного исследования конструкции.
К нам в редакцию система Edifier R2800 (Studio 8) поступила в нетронутой комплектации, так что наши читатели имеют возможность лицезреть все нюансы, включая внешний вид розничной коробки. Отдельно прошу обратить внимание на надпись в нижнем левом углу: 2.0 High End Amplified Speaker System. Да, именно так: своя собственная ниша High End в классе мультимедийных акустических систем вполне имеет право на существование, и кому, как не флагманской системе R2800, претендовать на законное в ней место.
В комплект поставки системы входят собственно две колонки, съёмный кабель сетевого питания, пульт дистанционного управления, цифровой оптический кабель, аналоговый кабель RCA to mini-jack плюс соответствующая документация и гарантийный талон.

Пожалуй, единственное, что не претерпело изменений со времен R2700, – это пульт ДУ: то же питание от двух пальчиковых батарей, тот же компактный дизайн, тот же набор функций, включая регулировку громкости и переключение входов.

Рассмотрим подробнее конструкцию системы. Поскольку набор акустических составляющих обеих колонок идентичен, разборке будет подвергнута только одна из них – конечно же, активная.
Корпус каждой колонки системы R2800 по уже сложившейся традиции для семейства Edifier Studio выполнен из наиболее качественной разновидности МДФ-плиты (MDF — Medium Density Fiberboard, «древесноволокнистая плита средней плотности») класса Е0, что подразумевает отсутствие эффекта впитывания влаги, а также полное отсутствие формальдегидов и прочих токсичных веществ. Применение материала такого класса гарантирует «дружественное отношение» к лёгким пользователя наряду с превосходными акустическими свойствами, неизменными на протяжении длительного срока использования системы.

Даже одного взгляда на внешний вид системы R2800 достаточно, чтобы отметить аналогии с моделью Edifier R2700 — и в то же время заметить основные отличия. Так, материал и исполнение декоративных решёток, покрытие «под шпон», компоновка и расстановка динамиков и фазоинвертора – всё как прежде. Тем не менее габариты модели R2800 значительно увеличились, и даже если это сразу не бросается в глаза, то изменившиеся из-за увеличившегося диаметра низкочастотного динамика пропорции никак нельзя не заметить.

Напомним, что одним из основных отличий новой системы от предшественницы является увеличенная мощность – с 128 до 140 Вт. Таким образом, для достижения большей мощности и улучшения качества звучания 6,5-дюймовый НЧ-динамик, использовавшийся в модели R2700, был заменён более крупным, 8-дюймовым. Что, в свою очередь, и привело к увеличению габаритов колонки.
Частичная разборка системы позволит нам подробнее изучить ее конструкцию. Начнём сверху, с высокочастотного динамика. Как видите, 3/4-дюймовая ВЧ-головка с шёлковым пропитанным куполом, магнитом из редкоземельного материала и магнитным экранированием аналогична применяемой в системе R2700. Небольшие габариты твитера стали возможны благодаря наличию мощного среднечастотного динамика, позволившего сместить вверх частоту раздела высоких и средних частот. В свою очередь, более компактный 3/4-дюймовый твитер позволяет добиться более широкой диаграммы направленности при большей частоте собственного резонанса, нежели более крупные ВЧ-динамики.

Среднечастотный динамик диаметром 4 дюйма со вспененным гофром в качестве рёбер жёсткости, композиционным диффузором на бумажной основе и магнитным экранированием почти аналогичен используемому в R2700 (хотя модель другая). Плотность и форму этого динамика, равно как и низкочастотника, рассчитали на специальном лазерном комплексе Klippel для точного соответствия определённым задачам. Как и у предшествующей модели, СЧ-динамик размещён в отдельном изолированном фанерном «стакане» и уплотнён демпфирующим материалом для соблюдения изотермического режима. Декоративная круглая матовая пластиковая заглушка правее и выше СЧ-динамика прикрывает сенсор приёмника дистанционного управления.

Отдельно хотелось бы подчеркнуть, что для более надёжного крепления СЧ- и ВЧ-головок в МДФ-плите передней панели корпуса отфрезерованы специальные фаски. Динамики располагаются заподлицо с поверхностью фронтальной панели, лежат в своих «кроватках» как влитые даже без крепежа (и уж тем более клея) и с огромным трудом поддаются изъятию. Поэтому ради сохранения целостности конструкции крайне не рекомендуем повторять за нами процесс разборки системы без крайней нужды. Кстати, для крепления каждого из динамиков используются саморезы различного типоразмера. Казалось бы — мелочь, но такое внимание к второстепенным деталям не может не подкупать.
Низкочастотный басовый динамик также оснащён композиционным диффузором на бумажной основе с рёбрами жёсткости в виде вспененного гофра и магнитным экранированием. Такая огромная, 8-дюймовая НЧ-головка с роскошной динамичной подвеской и качественным низко-резонансным исполнением была бы вполне уместна в составе серьёзной Hi-Fi-системы.

Также нельзя не упомянуть ещё раз удачное расположение раструбов фазоинверторов. Как и предыдущая модель, система R2800 оснащена фронтальными, направленными вперёд фазоинверторами, что делает менее критичным выбор расстояния до стены при установке.

Панель цифровых регуляторов громкости и тембров высоких и низких частот удобно расположена на боковой поверхности активной колонки. Здесь же, под регуляторами, находится светодиод, загорающийся определённым цветом при выборе одного из четырёх входов, а собственно смена входов производится путём последовательного нажатия на регулятор громкости. Очень удобно и практично — а главное, продублировано на пульте ДУ.

Вся интерфейсная разводка выполнена с тыльной стороны активной колонки. Здесь всё практически один в один похоже на тыльную сторону активной колонки модели R2700: те же два аналоговых входных канала, оптический и коаксиальный интерфейсы. Аналоговые входы имеют полную электрическую развязку друг от друга, все переключения выполняются электроникой.

Межколоночное соединение выполнено тем же многожильным кабелем с 5-контактным профессиональным XLR-интерфейсом на стороне пассивной колонки. Таким образом достигается надёжность подключения и защита от переполюсовки, а также обеспечивается единственный способ соединения «три-ампинговых» акустических систем, требующих отдельного провода для каждого динамика (помимо общего), а для низкочастотного – сразу двух, поскольку там предусмотрена мостовая схема с двумя усилителями для достижения большей выходной мощности.

После аккуратного снятия пластины с интерфейсными разъёмами на тыльной стороне активной колонки удаётся взглянуть на конструкцию плат коммутатора и усилителей, блок питания и фильтры системы.

По аналогии с моделью Edifier R2700, в новой системе Studio 8 установлен трансформатор блока питания на ш-образных пластинах, без всяких фокус-покусов с ВЧ-преобразователями – чистая аудиофильская классика. Разница лишь в том, что 20-вольтная вторичная обмотка у новой модели R2800 рассчитана на ток нагрузки 4,5 А против 3,5 А у модели R2700: как-никак выходная мощность у новой системы всё же повыше. Обратите также внимание на огромное количество демпфирующего материала, щедро расположенного внутри корпуса колонок.

Электроника новой системы совершенно аналогична схеме, реализованной и вполне себя оправдавшей в предыдущей модели R2700. По сути, вся система скомпонована на двух печатных платах с частичным SMD-монтажом. На большой плате установлены выпрямительные и стабилизирующие цепи блока питания, а также цепи электронной коммутации и полностью цифровой тракт с оконечными усилителями, работающими в режиме класса D. Компактные радиаторы усилителей указывают на весьма высокий КПД цифрового тракта, к тому же дополнительно радиатор обдувается потоком воздуха от фазоинвертора — чем больше громкость, тем больше этот поток.

На отдельную, надёжно закреплённую плату вынесены цепи аналогово-цифрового преобразователя (АЦП) на аппаратном кодеке PCM1808 для аналоговых входов, а также разделительные фильтры – не классические LC-фильтры, как у большинства современных колонок, а цифровые, высокого порядка — и фазолинейные. Таким образом, каждый усилитель получает заведомо отфильтрованный сигнал соответствующей полосы частот с чёткой линейностью фазы. Цифровые входы обслуживает S/P-DIF-приемник на чипе AK4117.

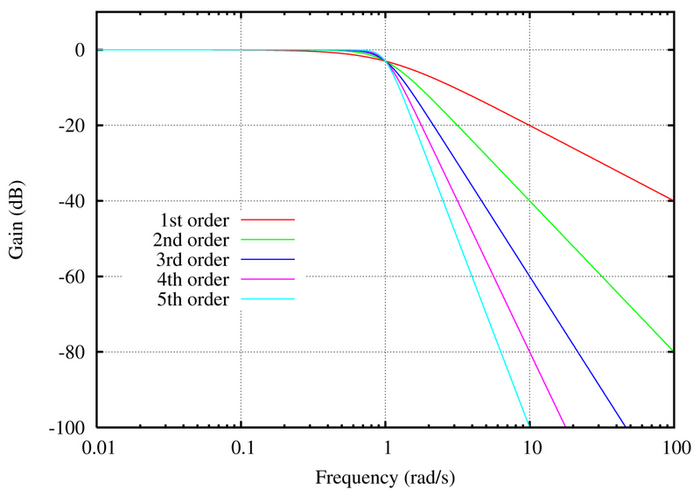
На графике ниже, предоставленном производителем, видно качество фильтрации сигнала низкочастотным фильтром от первого до пятого порядка. За «сшивку» полос отвечает специальный цифровой контроллер.

Оконечные усилители с технологией PWM (Pulse Width Modulation — «широтно-импульсная модуляция») выполнены на чипах TAS5342A производства Texas Instruments с контроллерной обвязкой на чипах TAS5508C и 8L152C4. Как и в предыдущей системе, в модели Edifier R2800 усилители TI TAS5342A класса D используются и в единичном включении, и в симметричном мостовом режиме, при этом каждый раскачивает до 40 Вт/100 Вт соответственно. Для твитера и среднечастотного динамика используется по одному каналу-усилителю TAS5342A, а низкочастотный динамик раскачивается двумя TAS5342A, включёнными мостом.

Качество монтажа, пайки, компоновки схемы и крепления крупногабаритных деталей и компонентов безупречно, на приведённых фотографиях это видно отчётливо.

Первая особенность системы Edifier R2800, которая производит неизгладимое впечатление, – это, безусловно, её внушительный вес. Даже если условно «откинуть» килограмм-полтора на трансформатор и электронику, всё равно на две колонки остаётся внушительная часть от суммарных 27,8 кг. В дополнение к этому — габариты: высота едва не достигает полуметра, а глубина составляет почти 30 сантиметров.
Следующий интересный эффект, уже после включения и начала прослушивания: первое впечатление от звука – отлично, но почему-то негромко. И лишь по прошествии нескольких десятков секунд, после адаптации слуха к звучанию колонок (и, видимо, абстрагирования от общего «белого» шума офиса) приходит понимание и наслаждение от изумительного звучания.
Очень не хотелось бы сыпать избитыми, уже звучавшими фразами, но от двух важнейших эпитетов в адрес системы Edifier R2800 никуда не деться: прозрачность и чистота. При этом нет ни малейшей нужды рассказывать о том, как вели себя колонки в той или иной части спектра при воспроизведении композиций разных жанров — звук был действительно замечательным во всём диапазоне и даже при малой громкости. Теоретически можно ещё, конечно, посетовать на то, что для отдельных хард-роковых, металлических и джазовых композиций не хватает более мощного (в смысле, более громкого, а не более насыщенного) баса, но как представишь, что за счёт этой громкости пострадает прозрачность звука, эта превосходная объёмная картина звучания каждой ноты каждого инструмента… Нет, нет и нет, всё именно так, как нужно, ни добавить, ни убавить. Разве что придётся немного привыкнуть к звучанию именно этой системы (и к нему действительно хочется привыкнуть).
Очень затруднительно выделить каких-либо явных фаворитов среди поставленных в процессе прослушивания композиций. Джаз, различные акустические альбомы, сольные записи знаменитых пианистов, известнейшие роковые и джазовые, мужские и женские вокалы – всё звучало на отлично, можно даже сказать, слишком хорошо для мультимедийной системы. Именно поэтому и стал актуальным вопрос, заданный в начале этой статьи: может быть, пора уже на полном серьёзе выделять свой Hi-End-класс среди мультимедийной активной акустики?
Кстати, в отличие от эпизодов с прослушиванием R2700, которую, помнится, для комфортного восприятия пришлось несколько раз подстраивать с помощью регуляторов тембра высоких и низких частот, с системой Edifier R2800 всё сразу «пошло-поехало» на нейтральных положениях регуляторов — и так, собственно, в конце-концов и осталось, потому что нейтраль как раз оказалась «золотой серединкой».
Разумеется, позиционировать такую систему в качестве «довеска» к персональному ПК для настольного расположения как-то не с руки. В то же время благородное исполнение системы и высокие заявленные характеристики как бы сигнализируют пользователю: мол, не смей подключать нас к игровым приставкам и прочей низкопробной развлекаловке, мы же созданы для воспроизведения действительно хорошего звука! Да, именно так. Несмотря на универсальный набор входных интерфейсов, система Edifier R2800 явно создавалась в расчёте на истинных ценителей, планирующих наслаждаться хорошим звуком своей аудио коллекции в первую очередь.
Разумеется, с учётом выделенного на звук бюджета: сейчас мы не говорим о Hi-Fi в чистом виде и не сравниваем с ним. Речь скорее о том, что для обычного уровня качества звука мультимедийных акустических систем с «тыц-тыц» высокими и «бум-бум» в играх и фильмах совсем необязательно тратить сумму, которую запрашивают за R2800, — это, напомним, около 10 000 рублей. Всего этого можно добиться и меньшими средствами. В то же время покупка Edifier R2800 имеет смысл именно для тех, кто ценит прозрачный чистый звук максимально высокого качества, какого только можно добиться от мультимедийной системы.
И ещё одно наблюдение. По здравом размышлении хотелось бы сказать, что модель R2800 – отнюдь не соперник предыдущей модели R2700 (тем более с учётом ценовой разницы), а, скорее, дополнение в замечательном ряду стереофонических мультимедийных акустических систем производства компании Edifier в самой качественной реализации задумки, серии Studio. Но! С «аудиофильской», если так можно выразиться, точки зрения, модель R2800 всё же выглядит более ценным приобретением.
Источник:
http://www.3dnews.ru/771101